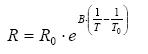
Bei dem in dieser Übung eingesetzten Temperatur Sensor, handelt es sich um einen RH-16 NTC (negative temperature coefficient) von Mitsubishi. Dies bedeutet, dass sich mit steigender Temperatur der Widerstand verringert. Der Widerstand kann über folgende Formel (Nr. 1 im Datenblatt) genähert werden:
mit Ro = bekannter Widerstand bei Temperatur To, z.B. 25°C. B = Variable die sich in Abhängigkeit der Temperatur verändert; kann in bestimmten Temperatur-Bereichen als konstant angesehen werden. Im Datenblatt finden sich beispielsweise Werte für die Bereiche 25–50°C oder 25–85°C. Bei einem größeren Temperatur-Bereich, muss Formel 2 aus dem Datenblatt genutzt werden.